因此,研究人员将天然产物修饰为相应的衍生物,增加其稳定性及活性,以此来揭示天然产物本身活性的秘密。糖类作为一种稳定的天然产物,生物活性却较为单一,限制了其应用的范围。而糖类与其它非糖物质结合形成的新化合物—糖苷不仅保留了糖类本身的性质,更是引入了更多的生物活性,提升了应用价值。
糖与糖苷
糖是自然界最为丰富的一种的天然产物,可分为单糖、寡糖、多糖等。糖在生物的生命活动中不可或缺,是一切生命体维持生命活动所需能量的主要来源。除了作为能源物质以外,糖还是大多数药物的活性成分之一。糖对药物的影响是正向的,但是它表达的活性不高且较为单一,这也导致其市场应用价值不高,因此,相关研究人员对糖进行了修饰,得到其衍生物—糖苷化合物。
2.硫苷

糖苷的合成—化学合成


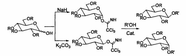
Fischer糖苷化法是德国化学家Fischer在1893-1895年期间发现的。该法利用了酸性催化剂,将小分子糖与醇反应生成糖苷,是一种比较经济的糖苷化合物合成方法。这一方法优点在于原料稳定、经济,但是反应结束后会产生大量废水,易对环境造成污染。
糖苷的合成—生物合成

酶是生物合成过程中不可或缺的,这种用于催化糖苷化反应的酶通常来源于植物的本身,还有一些特殊的酶也可以从细菌、病毒等微生物体内找到。从糖苷化反应的过程可以看出,用到的酶并不是单一的,每一种酶都有自己的专一性,因此,研究人员通常会将酶按照一定的特性进行分类,以便识别利用。糖苷化酶也不例外,也可以按照一些因素进行分类[4],如:
在被划分的111个家族中,以UDP一葡萄糖为底物的糖苷化酶家族最为庞大,被称为UGT家族。UGT家族糖苷化酶的空间结构为GT-B型,催化机制通常表现为转化型。UGT家族中最常用的糖苷化酶非UGTs酶莫属,一些常见的糖苷化反应都离不开UGTs酶的催化作用,比如高原植物红景天体内红景天苷的形成。在红景天体内,UGTs酶会催化酪醇发生糖苷化反应,生成具有多种生理活性的红景天苷。
糖苷化是对天然产物进行修饰生成糖苷化合物的有效途径之一,它可以改善天然产物的稳定性、生理活性等,提高天然产物的生物利用度。目前已知获取糖苷化合物的技术中,植提最为常见,但是技术难度最高,产率较低;化学合成虽然提升了糖苷的产率,但其存在的高污染、高成本等问题也不容忽视;反观生物合成这一技术,它不仅能够解决植提技术存在的高难度、低产率的问题,也不会像化学合成一样对环境造成污染。
现今生物技术存在的问题在于酶的本身,因为酶对反应的条件要求非常苛刻,需要满足合适的温度、酸碱度等条件,因此生物酶技术的应用不如化学合成那么广泛,但随着科学技术的发展,相信这种高效的技术一定能够运用到糖苷类化合物的生产中,利用天然技术生产、修饰天然产物是每一个生物领域工作者的目标。
(文章内容源于相关研究资料的整理,若有不足之处,欢迎指正)
[1] https://wenku.baidu.com/view/8e49e0e5571252d380eb6294dd88d0d232d43c7e.html
[2] 李志伟. 糖苷衍生物的合成方法研究[D]. 河北大学, 2007.
[3] 江灵敏. 酪醇的羟基化与糖基化研究[D].湖南中医药大学,2019.
[4] http://www.cazy.org/GlycosylTransferases.html
封面图源:网络
